01
宠物的关节疾病到底是什么形成的


图片概括:
当发生伤害性刺激,无论是感染还是创伤,关节软骨发生异常磨损,滑液膜退化,在关节腔内,随着炎性细胞的进入,炎性介质PGE2&NO开始产生,伴随着软骨基质粘多糖的流失,随着整个进程的发展,从轻微炎症发展到软骨退化,关节开始疼痛,宠物活动就开始受限(出现跛行/僵硬)。
如果不能及时了解病情并治疗,关节功能会进一步退化,并给宠物带来长期的影响。
02
为什么Sashas可以帮助恢复关节健康

有兴趣深度研究的可以搜索下载哦
由加拿大圭尔夫大学安大略兽医学院生物医学科学系,人类健康与营养科学系和美国密歇根州立大学动物科学系针对Sashas共同研究的一项研究成果于2007年发表在了Molecular Nutrition& Food Research杂志上。
MOL NUTR FOOD RES杂志属于工程技术行业,“食品科技”子行业的顶级杂志。作为行业的知名杂志,刊登要求很高,若不是一流水平的研究,很难上榜。

摘要分析
标黄翻译:
绿唇贻贝和鲨鱼软骨可以显著抑制IL-1诱导的PGE2合成以及GAG的释放,鲍鱼可有效抑制IL-1诱导的NO合成。试验结果表明,这三种天然保健物质至少影响与关节炎分解代谢有关的3条主要代谢途径,是预防和处理关节炎疼痛和退化的有效物质。
03
实验数据证明一切
1.文献中关于PGE2的实验数据


SC处理(0.18 mg/mL) (p = 0.08)和NZGLM处理(p = 0.09)有抑制软骨外植体产生PGE2的趋势。
2.文献中关于GAG的实验数据


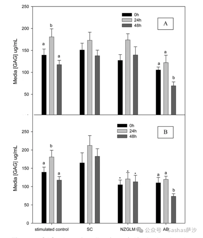
用SC或NZGLM(0.06和0.18 mg/mL)进行处理,可以防止软骨外植体培养基中IL-1诱导的性GAG的增加。
3.文献中关于NO的实验数据


AB(0.06 mg/mL)处理后的软骨外植体培养基中,由IL-1诱导产生的NO的产生量显著降低。
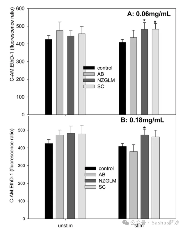
4.文献中关于细胞活力的数据

在IL-1刺激的软骨外植体中,NZGLM和SC处理过后的细胞活力显著增加。
注:字母表示重要的时间或IL-1依赖性变化;*表示与受刺激对照组有显著差异。由于篇幅有限,全部展示出来会太长,对文献有任何异议之处,欢迎一起探讨。
总 结
绿唇贻贝和鲨鱼软骨可以显著抑制IL-1诱导的PGE2合成以及GAG的释放,鲍鱼可有效抑制IL-1诱导的NO合成,并且能维持并增强良好的细胞活力。
参考文献
[1] Tapiero, H., Glutamine and glutamate, Biomed. Pharmacother. 2002, 56, 446 – 457.
[2] Todhunter, R. J., Anatomy and physiology of synovial joints, in: McIwraith, C. W., Trotter, G. (Eds.), Joint Disease in the Horse. WB Saunders Co., Philadelphia 1996, pp. 1 – 28.
[3] Ozyurt, B.The protective effects of omega-3 fatty acids against MK-801- induced neurotoxicity in prefrontal cortex of rat, Neurochem. Int. 2007, 50, 196 – 202.
[4] Theuer, J., Inducible NOS inhibition, eicosapentaenoic acid supplementation, and angiotensin II-induced renal damage, Kidney Int. 2005, 67, 248 – 258

Sashas萨沙 版权所有